Non-Prescription Antibiotic Use and Unsafe Household Medicine Disposal in Indonesia: Implications for Antimicrobial Stewardship

Article information

IGEE Proc. 2026;3(1):17-26
Publication date (electronic) : 2026 February 23
doi : https://doi.org/10.69841/igee.2026.002
1Department of Public Health, Graduate School, Yonsei University, Seoul, Korea
2Department of Public Health, Regional Health Office, Nganjuk, Indonesia
3Department of Health Policy and Management, Graduate School of Public Health, Yonsei University, Seoul, Korea
*Corresponding author: Danik Iga Prasiska, E-mail: digaprasiska@yonsei.ac.kr
Received 2026 January 14; Revised 2026 February 2; Accepted 2026 February 4.

Abstract

Non-prescription access to antibiotics remains widespread in low and middle-income countries and is a major contributor to antimicrobial resistance. Unsafe household storage and disposal of medicines further reinforce inappropriate antibiotic use and environmental contamination. Yet, national evidence integrating antibiotic knowledge, medicine safety awareness, and household practices remains limited. This study examined associations between antibiotic-related knowledge, awareness of damaged medicines, and non-prescription antibiotic purchase among adults in Indonesia using nationally representative survey data.

A cross-sectional analysis was conducted using the 2023 Indonesian Health Survey, including 430,204 adults with complete outcome data. The primary outcome was self-reported purchase of antibiotics without a prescription. Survey-weighted modified Poisson regression models were used to estimate adjusted relative risks accounting for individual and household characteristics. Overall, 19.7% of adults reported purchasing antibiotics without a prescription. Higher risk was observed among adults aged 26 to 44 years, females, rural residents, individuals with chronic conditions or physical disabilities, and those from poorer households. Each 10-pp increase in antibiotic-specific knowledge was associated with a lower risk of non-prescription antibiotic purchase (adjusted RR 0.97, 95% CI 0.97 - 0.98). In contrast, awareness related to damaged or expired medicines was associated with a higher risk (adjusted RR 1.04, 95% CI 1.03 - 1.04). Household medicine disposal practices were dominated by discarding medicines in household trash, while formal return to pharmacies or health facilities was rare.

These findings indicate that antimicrobial stewardship requires integrated strategies addressing both rational an-tibiotic use and safe household medicine management to support progress toward Sustainable Development Goals related to health and responsible consumption.

1. Introduction

Antimicrobial resistance (AMR) is a major global health threat that undermines the effectiveness of essential medicines and jeopardizes progress toward health-related Sustainable Development Goals (SDGs) (Aslam et al., 2024). In low and middle-income countries (LMICs), non-prescription access to antibiotics remains widespread and is a key driver of AMR, reflecting weak regulatory enforcement, limited access to affordable healthcare, and high patient demand (Dixon et al.; Zewdie et al., 2024). Recent reviews suggest that between half and nearly all adults in some LMIC settings have used antibiotics without a prescription, with community pharmacies and informal medicine retailers serving as the dominant sources (Torres et al., 2021).

Beyond access to antibiotics, household-level medicine practices represent an underrecognized pathway contributing to inappropriate antibiotic use. Antibiotics are frequently stored in households, often as leftovers from prior treatments, expired products, or medicines kept under suboptimal conditions (Gebeyehu & Ararsie, 2023). Poor knowledge of appropriate storage and disposal may prolong the availability of unsafe medicines in the home, increase opportunities for reuse without medical supervision, and contribute to environmental contamination through unsafe disposal routes (Khan et al., 2022; Rogowska & Zimmermann, 2022). These practices link individual antibiotic misuse to broader concerns about environmental sustainability and responsible consumption, aligning antibiotic stewardship not only with Sustainable Development Goal 3 but also with Sustainable Development Goal 12 on responsible consumption and waste management.

Knowledge, attitudes, and practices related to antibiotics play a central role in shaping both self-medication and household storage behaviors. Prior studies from Indonesia and other LMICs consistently show that lower antibiotic-specific knowledge is associated with a higher likelihood of self-medication, while misconceptions regarding indications, dosing, and treatment duration remain common (Green et al., 2023; Pitaloka et al., 2025; Yunita et al., 2022). At the same time, patterns of antibiotic misuse appear socially patterned by education, household wealth, and chronic health needs. However, existing evidence is fragmented. Few nationally representative studies simultaneously integrate antibiotic knowledge, medicine safety awareness, sociodemographic characteristics, chronic disease and disability status, and household context to identify populations at the highest risk of non-prescription antibiotic purchase (Green et al., 2023; Mallah et al., 2022).

Indonesia represents a policy-relevant setting for addressing these gaps. Despite prescription-only regulations for antibiotics (MOH of Republic Indonesia, 2021), over-the-counter sales persist in community settings. Nationally representative survey data provide a critical opportunity to examine community antibiotic behaviors at scale and to generate evidence directly relevant to stewardship policies and public education strategies.

The primary objective of this study was to examine the association between antibiotic-related knowledge, awareness of damaged or expired medicines, and non-prescription antibiotic purchase among adults in Indonesia using nationally representative survey data. A secondary objective was to assess how these associations vary across sociodemographic, health-related, and household characteristics. It was hypothesized that higher antibiotic-specific knowledge would be associated with a lower risk of non-prescription antibiotic purchase, whereas awareness related to damaged or expired medicines would show a distinct association. Non-prescription antibiotic purchase was expected to be socially patterned across sociodemographic and health characteristics.

2. Materials and Methods

Study Design and Data Source

This study used data from the 2023 Indonesian Health Survey (Survei Kesehatan Indonesia, SKI), a nationally representative cross-sectional household survey conducted by the Ministry of Health in collaboration with Statistics Indonesia. Survey weights were provided to account for unequal probabilities of selection and non-response, enabling valid population-level inference at national and provincial levels. All analyses incorporated survey weights, clustering, and stratification variables.

Methods

1) Participants

The study population consisted of adult respondents (aged ≥ 18 years old) inter-viewed using the individual questionnaire of the 2023 Indonesian Health Survey. Participants were eligible for inclusion if they had a non-missing response to the outcome item assessing antibiotic purchase without a prescription in the past year. Individual respondents were linked to household-level data derived from the household questionnaire.

As illustrated in Figure 1, the analytic sample was restricted to respondents with complete information on the outcome and core characteristics included in the multivariable models. The final analytic sample included 430,204 adults, correspond-ing to an estimated population of 140,299,718 adults after application of survey weights.

Figure 1.

Study Population Selection Process.

2) Measures

(1) Outcome

The primary outcome was non-prescription antibiotic purchase, assessed using a single self-reported item asking whether the respondent had purchased antibiotics without a doctor’s prescription in the past year to treat common conditions such as diarrhea, fever, skin infection, sore throat, body aches, cough, headache, or influenza-like symptoms. Responses were coded as a binary variable.

(2) Exposures

The primary exposures were antibiotic-specific knowledge and awareness related to damaged or expired medicines. These variables captured respondents’ understanding of appropriate antibiotic use and their recognition of medicine safety issues related to expiration or damage.

Individual & Household Characteristics

Individual-level characteristics included sex, age group, marital status, educational attainment, and employment status. Health-related variables included indicators of chronic conditions (diabetes, cardiovascular disease, hypertension, kidney disease, or cancer) and physical disability, defined as reported difficulty with vision, hearing, or mobility.

Household-level characteristics included urban or rural residence and household wealth quintile. Household wealth was derived using principal components analysis of household assets, housing characteristics, and access to utilities, consistent with standard survey methods. Missing values in the wealth variable primarily arose from incomplete information on one or more asset components required for the principal components analysis. Given the large sample size and to avoid unnecessary loss of information, respondents with missing wealth data were retained by coding wealth as a separate missing category.

Statistical Analysis

Descriptive distributions of non-prescription antibiotic purchase across individual and household characteristics were summarized using frequencies and survey-weighted percentages. Differences across groups were assessed using Rao–Scott design-adjusted tests, which account for survey weights, clustering, and stratification. Corresponding design-adjusted p-values (Pr > F) were reported for descriptive comparisons.

Associations between antibiotic-related knowledge, medicine safety awareness, and non-prescription antibiotic purchase were estimated using survey-weighted general-ized linear models with a log link and quasi-Poisson variance to allow direct estima-tion of adjusted relative risks and 95 percent confidence intervals. Categorical var-iables were modeled using indicator variables with prespecified reference categories. Knowledge variables were scaled to represent a 10-percentage-point increase to improve interpretability.

All models accounted for the complex survey design, including weights, clustering at the primary sampling unit level, and stratification.

Model Validation

Internal validation of the regression model was conducted using 10-fold cross-validation at the primary sampling unit level to preserve the clustered survey structure. Model discrimination was modest, with a mean cross-validated area under the receiver operating characteristic curve of approximately 0.57, indicating limited ability to distinguish between individuals with and without non-prescription antibiotic purchase. Overall prediction accuracy was acceptable, with a cross-validated Brier score of approximately 0.16. Calibration performance was strong, with a calibration intercept close to zero and a slope near one, indicating good agreement between predicted and observed risks across deciles of predicted risk under the sur-vey-weighted design. All analyses were conducted using R statistical software (version 4.2.2) (Posit team, 2025).

3. Results

Distribution of Non-Prescription Antibiotic Purchase

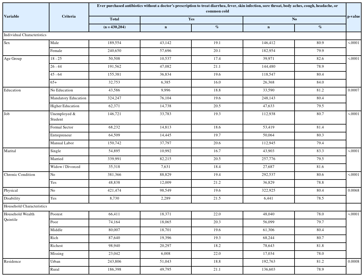
The distribution of non-prescription antibiotic purchases across individual and household characteristics is shown in Table 1. Overall, 19.7 percent of respondents reported purchasing antibiotics without a doctor’s prescription in the past year for common conditions, including diarrhea, fever, skin infection, sore throat, body aches, cough, headache, or common cold.

Distribution of Non-Prescription Antibiotic Purchases

Non-prescription antibiotic purchase was slightly more prevalent among females (20.1 percent) than males (19.1 percent). By age group, adults aged 26–44 years exhibited the highest prevalence (21.1 percent), whereas those aged 65 years or older had the lowest prevalence (16.0 percent). Differences by educational attainment were modest, with respondents with higher education reporting a slightly higher prevalence (20.5 percent) than those with no formal education (18.8 percent).

Across occupational categories, manual laborers and entrepreneurs reported higher prevalences of non-prescription antibiotic purchase than individuals employed in the formal sector. Married respondents had a higher prevalence compared with those who were single. Respondents reporting chronic conditions or physical disability also exhibited higher prevalences (21.2 percent and 21.5 percent, respectively) compared with those without these conditions.

A clear socioeconomic gradient was observed across household wealth quintiles, with prevalence declining from 22.0 percent in the poorest quintile to 18.2 percent in the richest quintile. In addition, rural residents reported more frequent non-prescription antibiotic purchase (21.1 percent) than urban residents (18.8 percent).

Factors Associated with Non-Prescription Antibiotic Purchase

Adjusted associations from survey-weighted modified Poisson regression models are presented in Figure 2. Relative to adults aged 26 to 44 years, all other age groups exhibited a significantly lower risk of non-prescription antibiotic purchase. Females had a slightly higher adjusted risk compared with males. Educational at-tainment below higher education was associated with lower adjusted risk, including among respondents with no education (aRR 0.84, 95% CI 0.80 to 0.86) and those with mandatory education (aRR 0.90, 95% CI 0.87 to 0.93). Compared with formal sector employment, all non-formal occupational categories were associated with a higher risk. Single, widowed, and divorced respondents had a lower adjusted risk relative to married individuals.

Figure 2.

Forest Plot of Adjusted Risk Ratio for Purchased Antibiotics Without a Prescription.

Forest plot showing adjusted relative risks (aRRs) and 95 percent confidence intervals from survey-weighted modified Poisson regression models examining associations between sociodemographic characteristics, health-related factors, and knowledge variables and the likelihood of purchasing antibiotics without a doctor’s prescription. Estimates are adjusted for all characteristics shown and account for survey weights, clustering, and stratification. Values marked with an asterisk (*) indicate 95 percent confidence intervals that do not include 1.00.

Household wealth displayed a gradient relative to the middle quintile, with higher risk observed among the poorest quintile (aRR 1.12, 95% CI 1.08 to 1.17) and lower risk among the richest quintile (aRR 0.92, 95% CI 0.89 to 0.96). Rural resi-dence was associated with increased risk, as were the presence of chronic conditions (aRR 1.16, 95% CI 1.12 to 1.20) and physical disability (aRR 1.17, 95% CI 1.09 to 1.25).

Knowledge-related variables showed contrasting associations. Each 10-percentage point increase in antibiotic-specific knowledge was associated with a 2 to 3 percent relative reduction in the risk of non-prescription antibiotic purchase (aRR 0.97, 95% CI 0.97 to 0.98). In contrast, greater awareness of damaged or expired medicines was associated with a 3 to 4 percent relative increase in risk (aRR 1.04, 95% CI 1.03 to 1.04).

Household Disposal of Unusable, Damaged, or Expired Medicines

Survey weighted patterns of household disposal practices are presented in Figure 3. Disposing of medicines by throwing them directly into household trash was the most frequently reported practice, cited by 86.9 percent of respondents. In contrast, formal return of medicines to pharmacies or health facilities was rare, reported by only 1.6 percent.

Figure 3.

Reported Actions for Disposal of Unusable, Damaged, or Expired Medicines.

Survey weighted distribution of reported actions for the disposal of unusable, damaged, or expired medicines. Respondents could report more than one action; therefore, percentages do not sum to 100 percent.

Other disposal practices were reported by substantially smaller proportions of respondents. These included burning or burying medicines (13.4 percent), separating medicines from packaging prior to disposal (9.3 percent), keeping unused medicines (7.3 percent), and crushing medicines before disposal (5.7 percent). Because respondents were allowed to report multiple disposal actions, percentages do not sum to 100 percent. Overall, these patterns indicate a predominance of informal and potentially unsafe household disposal practices, with very limited utilization of formal or recommended medicine take back options.

4. Discussion and Conclusions

Discussion

This study demonstrates that non-prescription antibiotic purchase remains common in Indonesia, with nearly one in five adults reporting such use in the past year. The observed prevalence is consistent with estimates from Southeast Asia and other lower-middle-income settings, indicating that informal antibiotic access remains a routine response to common illnesses rather than an exceptional behavior (Al Masud et al., 2024; Holloway et al., 2017; Mendelson et al., 2025). Persistent non-prescription use continues to undermine antimicrobial stewardship efforts and threatens progress toward Sustainable Development Goal 3 by accelerating antimicrobial resistance, delaying appropriate care, and increasing avoidable healthcare costs.

The findings support the hypothesized association between antibiotic-specific knowledge and non-prescription antibiotic purchase. Higher levels of antibiotic-specific knowledge were associated with a lower risk of purchasing antibiotics without a prescription, in line with established patterns reported in prior studies demonstrating that understanding antimicrobial resistance, appropriate indications, and treatment duration discourages informal antibiotic use. This pattern suggests that stewardship-relevant knowledge functions as a protective cognitive framework guiding care-seeking behavior (Cabral et al., 2024; Mostafa et al., 2021).

In contrast, awareness related to damaged or expired medicines showed a distinct association with non-prescription antibiotic purchase and was not protective. This finding aligns with the hypothesis that medicine-related knowledge is multidimensional and that not all forms of awareness translate into appropriate use. Operational familiarity with medicine handling may increase perceived self-efficacy and confidence in self-treatment without improving the ability to assess clinical appropriateness (Bonna et al., 2024). In settings where antibiotics remain easily accessible outside formal care, this confidence may inadvertently legitimize informal antibiotic purchasing (Alyafei A, 2024; Cabral et al., 2024; Insani et al., 2020; Wang et al., 2022).

Clear social patterning of non-prescription antibiotic purchase was observed across age, sex, socioeconomic position, health status, and place of residence, consistent with expectations based on prior literature. Lower risk among older adults may reflect greater integration into primary care services through community-based elderly health posts and chronic disease management programs (Nappoe et al., 2023; Yamada et al., 2020), which promote continuity of care and reduce reliance on informal treatment pathways. In contrast, adults aged 26 to 44 years exhibited the highest prevalence and adjusted risk, likely reflecting time constraints, work responsibilities, and greater economic autonomy that favor convenience-driven care seeking (Cabral et al., 2024; Chautrakarn et al., 2021).

Females showed a modestly higher risk of non-prescription antibiotic purchase, consistent with evidence that women frequently serve as primary health managers within households and engage in proxy care for family members (Cabral et al., 2024; Ocan et al., 2015). Socioeconomic gradients were also evident, with higher risk among poorer households and rural residents, reflecting financial barriers, opportunity costs of clinic visits, and persistent geographic inequities in access to primary healthcare services (Cabral et al., 2024; Malik et al., 2022). These patterns indicate that universal health coverage does not translate uniformly into effective access across population subgroups.

Household disposal practices further revealed substantial gaps in pharmaceutical governance. Disposal of unused or expired medicines was overwhelmingly conducted through household trash, while formal return to pharmacies or health facilities was rare. These practices raise environmental concerns and directly intersect with Sustainable Development Goal 12 on responsible consumption and waste management. Retention of leftover medicines within households may also reinforce cycles of informal reuse and non-prescription antibiotic purchase.

Limitations

Several limitations should be noted. The cross-sectional design precludes causal inference regarding the observed associations. Non-prescription antibiotic purchase was self-reported and may be subject to recall or social desirability bias. The survey did not capture clinical appropriateness, antibiotic class, or dosage, limiting assessment of misuse severity. Residual confounding may persist despite adjustment for a wide range of individual and household characteristics. Although nationally representative, the data may not fully capture informal acquisition pathways occurring outside household reporting.

Overall, the findings confirm that antibiotic-specific knowledge is protective against non-prescription antibiotic purchase, while other forms of medicine-related awareness do not necessarily confer similar protection. From a stewardship perspective, interventions should move beyond general awareness raising toward education that explicitly addresses diagnostic uncertainty, indications for antibiotic use, and resistance risks. Policy responses should integrate stewardship-focused education, improved access to primary care, stronger regulation of antibiotic sales, pharmacy engagement, and accessible medicine take-back systems.

Future research should examine how different dimensions of medicine-related knowledge influence care-seeking and decision-making pathways over time. Longitudinal and mixed-methods studies are needed to clarify causal mechanisms and to evaluate the effectiveness of integrated stewardship and household medicine management interventions.

Conclusions

Non-prescription antibiotic purchase remains common in Indonesia and coexists with unsafe household medicine disposal practices. Antibiotic-specific knowledge was associated with a lower risk of non-prescription purchase, whereas awareness related to damaged or expired medicines was associated with a higher risk. These findings highlight that effective antimicrobial stewardship requires integrated strategies that address both antibiotic use and household medicine management, reinforcing the need for coordinated approaches to support progress toward health and environmental sustainability goals.

References

1. Al Masud A., Walpola R. L., Sarker M., Kabir A., Asaduzzaman M., Islam M. S., Mostafa A. T., Akhtar Z., Barua M., Seale H.. 2024;Understanding antibiotic purchasing practices in community pharmacies: A potential driver of emerging antimicrobial resistance. Exploratory Research in Clinical and Social Pharmacy 15:100485. https://doi.org/https://doi.org/10.1016/j.rcsop.2024.100485. https://doi.org/10.1016/j.rcsop.2024.100485. 39318500.
2. Alyafei A, E.-C. R. (2024). The Health Belief Model of Behavior Change. StatPearls Publishing. https://www.ncbi.nlm.nih.gov/books/NBK606120/. NBK606120.
3. Aslam B., Asghar R., Muzammil S., Shafique M., Siddique A. B., Khurshid M., Ijaz M., Rasool M. H., Chaudhry T. H., Aamir A., Baloch Z.. 2024;AMR and Sustainable Development Goals: at a crossroads. Global Health 20(1):73. https://doi.org/10.1186/s12992-024-01046-8. 10.1186/s12992-024-01046-8. 39415207.
4. Bonna A. S., Mazumder S., Manna R. M., Pavel S. R., Nahin S., Ahmad I., Nabilah N., Ali M., Amin M. A.. 2024;Knowledge attitude and practice of antibiotic use among medical students in Bangladesh: A cross-sectional study. Health Sci Rep 7(9):e70030. https://doi.org/10.1002/hsr2.70030. 10.1002/hsr2.70030. 39221054.
5. Cabral C., Zhang T., Oliver I., Little P., Yardley L., Lambert H.. 2024;Influences on use of antibiotics without prescription by the public in low- and middle-income countries: a systematic review and synthesis of qualitative evidence. JAC-Antimicrobial Resistance 6(5):dlae165. https://doi.org/10.1093/jacamr/dlae165. 10.1093/jacamr/dlae165. 39464857.
6. Chautrakarn, S., Khumros, W., & Phutrakool, P. (2021). Self-Medication With Over-the-counter Medicines Among the Working Age Population in Metropolitan Areas of Thailand [Original Research]. Frontiers in Pharmacology, Volume 12 - 2021. https://www.frontiersin.org/journals/pharmacology/articles/10.3389/fphar.2021.726643. 10.3389/fphar.2021.726643.
7. Dixon, J., MacPherson, E. E., Nayiga, S., Manyau, S., Nabirye, C., Kayendeke, M., Sanudi, E., Nkaombe, A., Mareke, P., Sitole, K., de Lima Hutchison, C., Bradley, J., Yeung, S., Ferrand, R. A., Lal, S., Roberts, C., Green, E., Denyer Willis, L., Staedke, S. G., & Chandler, C. I. R. (2021). Antibiotic stories: a mixed-methods, multi-country analysis of household antibiotic use in Malawi, Uganda and Zimbabwe. BMJ Global Health, 6(11), e006920. https://doi.org/10.1136/bmjgh-2021-006920.
8. Gebeyehu E., Ararsie M.. 2023;Assessment of home storage of antimicrobials and its predictors in Mecha demographic surveillance and field research center: a cross-sectional study. BMC Infect Dis 23(1):278. https://doi.org/10.1186/s12879-023-08227-7. 10.1186/s12879-023-08227-7. 37138204.
9. Green D. L., Keenan K., Fredricks K. J., Huque S. I., Mushi M. F., Kansiime C., Asiimwe B., Kiiru J., Mshana S. E., Neema S., Mwanga J. R., Kesby M., Lynch A. G., Worthington H., Olamijuwon E., Abed Al Ahad M., Aduda A., Njeru J. M., Mmbaga B. T., Clarkson M.. 2023;The role of multidimensional poverty in antibiotic misuse: a mixed-methods study of self-medication and non-adherence in Kenya, Tanzania, and Uganda. The Lancet Global Health 11(1):e59–e68. https://doi.org/10.1016/S2214-109X(22)00423-5. 10.1016/S2214-109X(22)00423-5. 36521953.
10. Holloway K. A., Kotwani A., Batmanabane G., Puri M., Tisocki K.. 2017;Antibiotic use in South East Asia and policies to promote appropriate use: reports from country situational analyses. BMJ 358:j2291. https://doi.org/10.1136/bmj.j2291. 10.1136/bmj.j2291. 28874360.
11. Insani W. N., Qonita N. A., Jannah S. S., Nuraliyah N. M., Supadmi W., Gatera V. A., Alfian S. D., Abdulah R.. 2020;Improper disposal practice of unused and expired pharmaceutical products in Indonesian households. Heliyon 6(7):e04551. https://doi.org/10.1016/j.heliyon.2020.e04551. 10.1016/j.heliyon.2020.e04551. 32760838.
12. Khan, F. U., Mallhi, T. H., Khan, Q., Khan, F. U., Hayat, K., Khan, Y. H., Ahmad, T., & Fang, Y. (2022). Assessment of antibiotic storage practices, knowledge, and awareness related to antibiotic uses and antibiotic resistance among household members in post-conflict areas of Pakistan: Bi-central study [Original Research]. Frontiers in Medicine, Volume 9 - 2022. https://www.frontiersin.org/journals/medicine/articles/10.3389/fmed.2022.962657. 10.3389/fmed.2022.962657.
13. Malik B., Hasan Farooqui H., Bhattacharyya S.. 2022;Disparity in socio-economic status explains the pattern of self-medication of antibiotics in India: understanding from game-theoretic perspective. R Soc Open Sci 9(2):211872. https://doi.org/10.1098/rsos.211872. 10.1098/rsos.211872. 35154800.
14. Mallah N., Orsini N., Figueiras A., Takkouche B.. 2022;Income level and antibiotic misuse: a systematic review and dose-response meta-analysis. Eur J Health Econ 23(6):1015–1035. https://doi.org/10.1007/s10198-021-01416-8. 10.1007/s10198-021-01416-8. 34845563.
15. Mendelson M., Afari-Asiedu S., Schellack N., Wertheim H., Mpundu M., Gautham M.. 2025;Facing up to reality: over-the-counter access to antibiotics in low-income and middle-income countries needs a paradigm shift in thinking. The Lancet Global Health 13(12):e2175–e2179. https://doi.org/10.1016/S2214-109X(25)00394-8. 10.1016/S2214-109X(25)00394-8. 41240954.
16. MOH of Republic Indonesia. (2021). Minister of Health Regulation of the Republic of Indonesia Number 28 of 2021 concerning Antibiotics. Jakarta Retrieved from https://peraturan.go.id/files/bn1116-2021.pdf.
17. Mostafa A., Abdelzaher A., Rashed S., AlKhawaga S. I., Afifi S. K., AbdelAlim S., Mostafa S. A., Zidan T. A.. 2021;Is health literacy associated with antibiotic use, knowledge and awareness of antimicrobial resistance among non-medical university students in Egypt. A cross-sectional study. BMJ Open 11(3):e046453. https://doi.org/10.1136/bmjopen-2020-046453. 10.1136/bmjopen-2020-046453. 33649060.
18. Nappoe, S. A., Djasri, H., & Kurniawan, M. F. (2023). Chronic disease management programme (PROLANIS) in Indonesia. Case study. WHO & OECD. https://iris.who.int/bitstream/handle/10665/373226/9789240079052-eng.pdf.
19. Ocan M., Obuku E. A., Bwanga F., Akena D., Richard S., Ogwal-Okeng J., Obua C.. 2015;Household antimicrobial self-medication: a systematic review and meta-analysis of the burden, risk factors and outcomes in developing countries. BMC Public Health 15:742. https://doi.org/10.1186/s12889-015-2109-3. 10.1186/s12889-015-2109-3. 26231758.
20. Pitaloka D. A. E., Insyirah A., Oktariani A. N., Mardhiyyah C. A., Alfarafisa N. M.. 2025;Parental knowledge, attitude, and practice on self-medication of antibiotics for children in bandung, indonesia: a questionnaire-based survey and module-based learning intervention. BMC Pediatr 25(1):687. https://doi.org/10.1186/s12887-025-06084-8. 10.1186/s12887-025-06084-8. 40993564.
21. Posit team. (2025). RStudio: Integrated Development Environment for R. In Posit Software, PBC,. https://posit.co/products/open-source/rstudio/?sid=1.
22. Rogowska, J., & Zimmermann, A. (2022). Household Pharmaceutical Waste Disposal as a Global Problem-A Review. Int J Environ Res Public Health, 19(23). https://doi.org/10.3390/ijerph192315798. 10.3390/ijerph192315798.
23. Torres N. F., Chibi B., Kuupiel D., Solomon V. P., Mashamba-Thompson T. P., Middleton L. E.. 2021;The use of non-prescribed antibiotics; prevalence estimates in low-and-middle-income countries. A systematic review and meta-analysis. Arch Public Health 79(1):2. https://doi.org/10.1186/s13690-020-00517-9. 10.1186/s13690-020-00517-9. 33390176.
24. Wang L., Liang C., Yu H., Zhang H., Yan X.. 2022;Reliability and validity evaluation of the appropriate antibiotic use self-efficacy scale for Chinese adults. BMC Public Health 22(1):1344. https://doi.org/10.1186/s12889-022-13729-1. 10.1186/s12889-022-13729-1. 35836244.
25. Yamada, M., Hapsari, E. D., & Matsuo, H. (2020). Behaviors toward Noncommunicable Diseases Prevention and their Relationship with Physical Health Status among Community-dwelling, Middle-aged and Older women in Indonesia. Int J Environ Res Public Health, 17(7). https://doi.org/10.3390/ijerph17072332. 10.3390/ijerph17072332.
26. Yunita, S. L., Yang, H.-W., Chen, Y.-C., Kao, L.-T., Lu, Y.-Z., Wen, Y.-L., To, S.-Y., & Huang, Y.-L. (2022). Knowledge and practices related to antibiotic use among women in Malang, Indonesia [Original Research]. Frontiers in Pharmacology, Volume 13 - 2022. https://www.frontiersin.org/journals/pharmacology/articles/10.3389/fphar.2022.1019303. 10.3389/fphar.2022.1019303.
27. Zewdie S., Kassa A. A., Yayehrad A. T., Bizuneh M. M., Ayenew W., Zewudie M., Mulat S., Bitew B. E., Zewudie S., Meharie B. G., Tesfaye T. C., Zerga A. A., Ayele F. Y., Toleha H. N., Workineh B. D., Bayked E. M.. 2024;Non-prescription antibiotic use and its predictors among children in low- and middle-income countries: a systematic review and meta-analysis. Ital J Pediatr 50(1):260. https://doi.org/10.1186/s13052-024-01808-5. 10.1186/s13052-024-01808-5. 39696454.

Article information Continued

Figure 1.

Study Population Selection Process.

Figure 2.

Forest Plot of Adjusted Risk Ratio for Purchased Antibiotics Without a Prescription.

Forest plot showing adjusted relative risks (aRRs) and 95 percent confidence intervals from survey-weighted modified Poisson regression models examining associations between sociodemographic characteristics, health-related factors, and knowledge variables and the likelihood of purchasing antibiotics without a doctor’s prescription. Estimates are adjusted for all characteristics shown and account for survey weights, clustering, and stratification. Values marked with an asterisk (*) indicate 95 percent confidence intervals that do not include 1.00.

Figure 3.

Reported Actions for Disposal of Unusable, Damaged, or Expired Medicines.

Survey weighted distribution of reported actions for the disposal of unusable, damaged, or expired medicines. Respondents could report more than one action; therefore, percentages do not sum to 100 percent.

Table 1.

Distribution of Non-Prescription Antibiotic Purchases

Variable Criteria Ever purchased antibiotics without a doctor’s prescription to treat diarrhea, fever, skin infection, sore throat, body aches, cough, headache, or common cold p-value
Total Yes No
(n = 430,204) n % n %
Individual Characteristics
 Sex Male 189,554 43,142 19.1 146,412 80.9 <.0001
Female 240,650 57,696 20.1 182,954 79.9
 Age Group 18 - 25 50,508 10,537 17.4 39,971 82.6 <.0001
26 - 44 191,562 47,082 21.1 144,480 78.9
45 - 64 155,381 36,834 19.6 118,547 80.4
65+ 32,753 6,385 16.0 26,368 84.0
 Education No Education 43,586 9,996 18.8 33,590 81.2 0.0007
Mandatory Education 324,247 76,104 19.6 248,143 80.4
Higher Education 62,371 14,738 20.5 47,633 79.5
 Job Unemployed & Student 146,721 33,783 19.3 112,938 80.7 <.0001
Formal Sector 68,232 14,813 18.6 53,419 81.4
Entrepreneur 64,509 14,445 19.7 50,064 80.3
Manual Labor 150,742 37,797 20.6 112,945 79.4
 Marital Single 54,895 10,992 16.7 43,903 83.3 <.0001
Married 339,991 82,215 20.5 257,776 79.5
Widow / Divorced 35,318 7,631 18.4 27,687 81.6
 Chronic Condition No 381,366 88,829 19.4 292,537 80.6 <.0001
Yes 48,838 12,009 21.2 36,829 78.8
 Physical No 421,474 98,549 19.6 322,925 80.4 0.0068
 Disability Yes 8,730 2,289 21.5 6,441 78.5
Household Characteristics
 Household Wealth Quintile Poorest 66,411 18,371 22.0 48,040 78.0 <.0001
Poor 74,164 18,065 20.3 56,099 79.7
Middle 80,007 18,701 19.6 61,306 80.4
Rich 87,640 19,396 19.3 68,244 80.7
Richest 98,940 20,297 18.2 78,643 81.8
Missing 23,042 6,008 22.0 17,034 78.0
 Residence Urban 243,806 51,043 18.8 192,763 81.2 0.0008
Rural 186,398 49,795 21.1 136,603 78.9

Percentages are survey-weighted to account for the complex sampling design of the 2023 Indonesian Health Survey. Counts are unweighted. p-values are based on Rao–Scott design-adjusted tests (Pr > F) and are reported for de-scriptive purposes only.